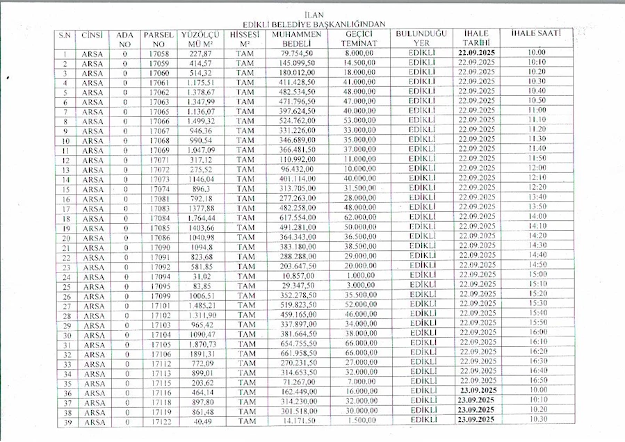
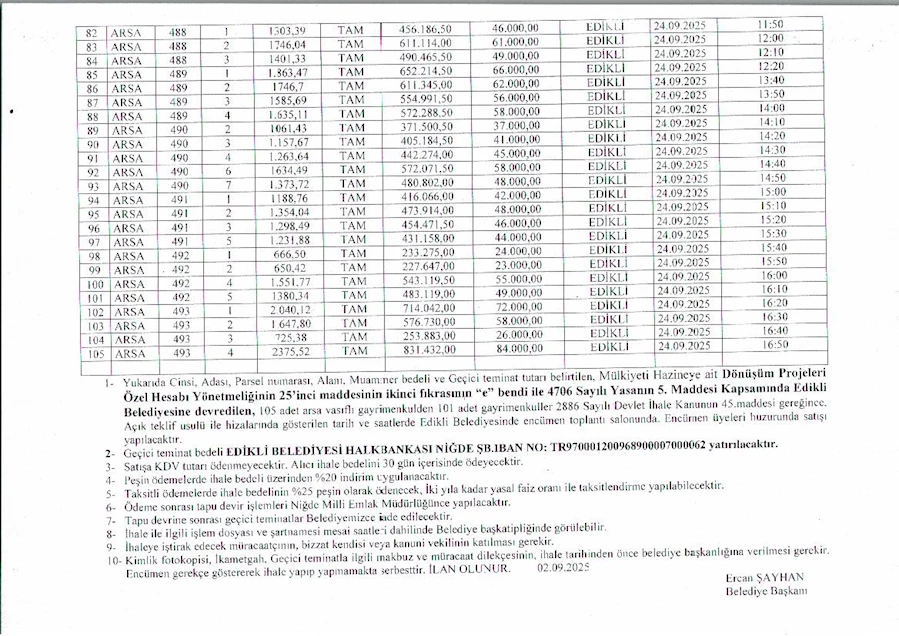
Satış işlemleri, 2886 Sayılı Devlet İhale Kanunu’nun 45. maddesi gereğince açık teklif usulü ile encümen huzurunda gerçekleştirilecek.
Belediyeden yapılan açıklamaya göre ihaleler, belirtilen tarih ve saatlerde Edikli Belediyesi Encümen Toplantı Salonu’nda yapılacak.
Satışa ilişkin detaylar şu şekilde açıklandı:
Geçici teminat bedeli, Edikli Belediyesi’nin Halkbank Niğde Şubesi’ndeki hesabına yatırılacak.
Satışlarda KDV alınmayacak.
Alıcılar, ihale bedelini 30 gün içinde ödeyecek.
Peşin ödemelerde yüzde 20 indirim uygulanacak.
Taksitli ödemelerde ise bedelin yüzde 25’i peşin ödenecek, kalan tutar iki yıla kadar yasal faizle taksitlendirilebilecek.
Tapu devir işlemleri, Niğde Milli Emlak Müdürlüğü tarafından yapılacak.
Tapu devrinin ardından geçici teminat alıcılara iade edilecek.
İhale dosyası ve şartnamesi belediye başkatipliğinde mesai saatleri içinde incelenebilecek. Başvuruların ise kimlik fotokopisi, ikametgah belgesi, geçici teminat makbuzu ve dilekçe ile birlikte ihale tarihinden önce belediyeye yapılması gerekiyor.
Edikli Belediyesi, encümenin gerekçe göstermesi halinde ihaleyi yapıp yapmamakta serbest olduğunu da duyurdu.


